ГДЗ Алгебра 9 класс Макарычев, Теляковский 2025 Номера 710


>>>/
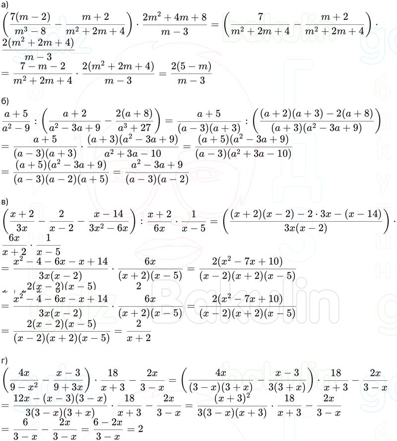
Правильный ответ к заданию ГДЗ Алгебра 9 класс Макарычев, Теляковский 2025Номера, номер 710 бесплатно онлайн
Решение/Номера/
ГДЗ Алгебра 9 класс Макарычев, Теляковский 2025 Номера 710

Другие задачи из этого решебника

Поделиться: