ГДЗ Алгебра 9 класс Макарычев, Теляковский 2025 Номера 719


>>>/
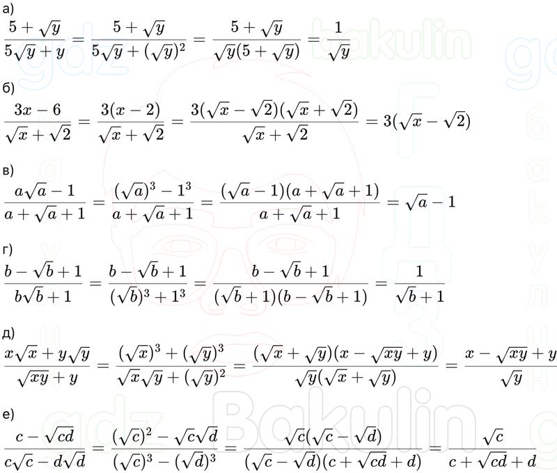
Правильный ответ к заданию ГДЗ Алгебра 9 класс Макарычев, Теляковский 2025Номера, номер 719 бесплатно онлайн
Решение/Номера/
ГДЗ Алгебра 9 класс Макарычев, Теляковский 2025 Номера 719

Другие задачи из этого решебника

Поделиться: