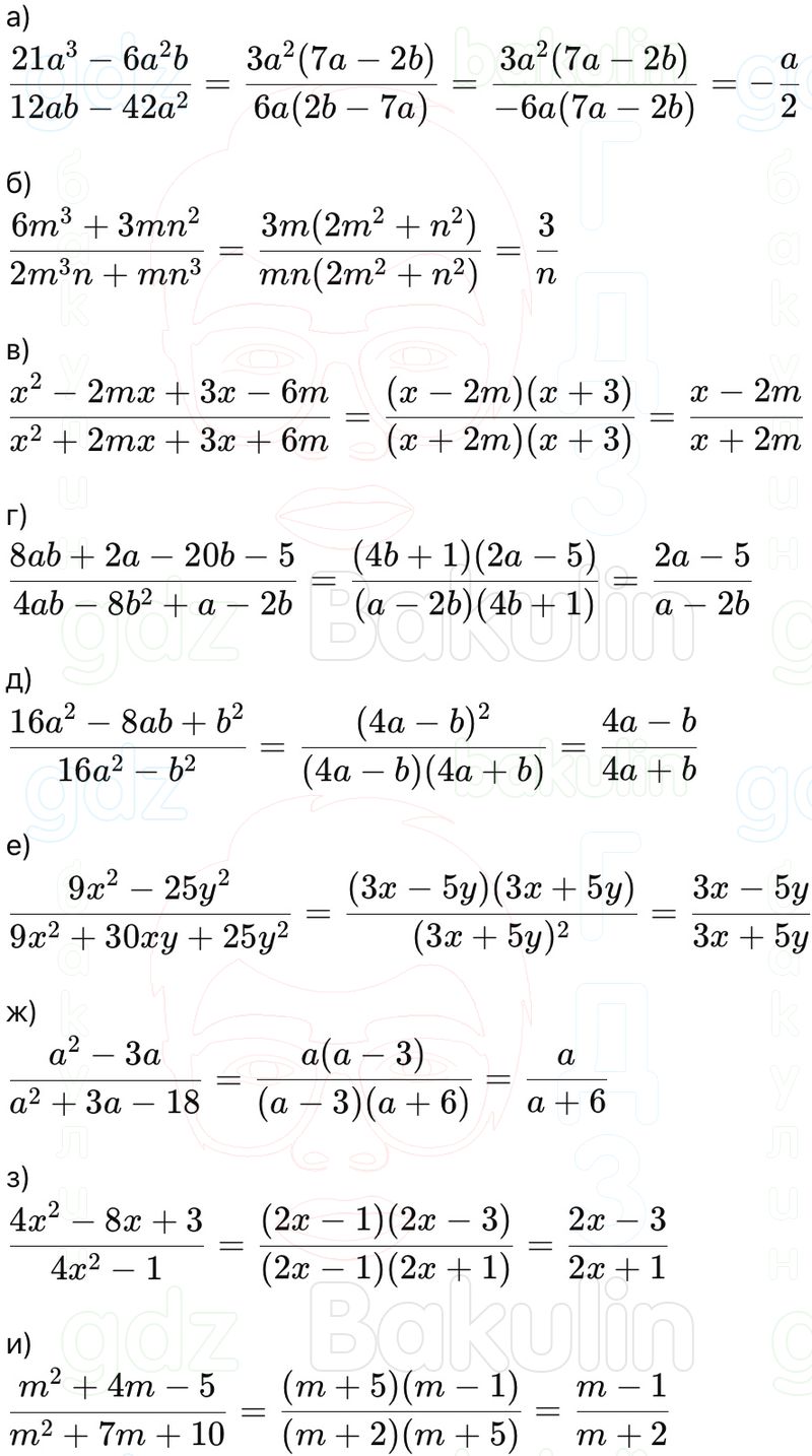
ГДЗ Алгебра 9 класс Макарычев, Теляковский 2025 Номера 705


>>>/
Правильный ответ к заданию ГДЗ Алгебра 9 класс Макарычев, Теляковский 2025Номера, номер 705 бесплатно онлайн
Решение/Номера/
ГДЗ Алгебра 9 класс Макарычев, Теляковский 2025 Номера 705

Другие задачи из этого решебника

Поделиться: