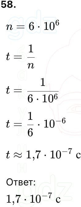
Условие задания
Современные фотоаппараты делают огромное колличество кадров за короткий промежуток времени. Рекорд составляет 6 миллионов кадров за секунду. Можно увидеть события, которые человеческий глаз никогда не сможет уловить. За какое время происходит один кадр в таком фотоаппарате? Результат запишите в наносекундах.