Условие задания
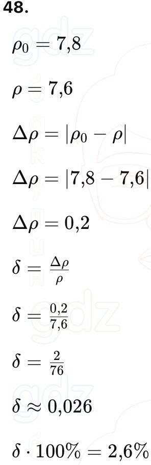
Выполняя лабороторную работу по определению плотности железа, ученик получил результат 7,6 г,/см3. Вычислите относительную погрешность экспериментального результата ( табличное значение плотности железа равно 7,8 г,/см3).
Авторы: Макарычев Ю. Н., Миндюк Н. Г., Нешков К. И., Теляковский С.А.
Издательство: Просвещение 2025
Предмет: Алгебра
Выполняя лабороторную работу по определению плотности железа, ученик получил результат 7,6 г,/см3. Вычислите относительную погрешность экспериментального результата ( табличное значение плотности железа равно 7,8 г,/см3).