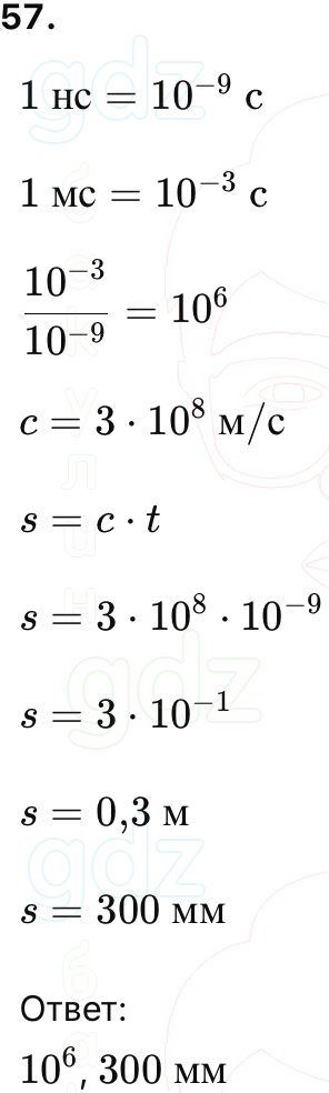
Условие задания
Одна секунда – мгновение для человека и целая эпоха с точки зрения атомов и электронов. Невооружённый человеческий взгляд может заменить явления, длящиеся буквально единицы милисекунд (1 милисекунда равна 10-3 с). Одна наносекунда ещё меньше и составляет 10-9 с. Посчитайте дистанцию, которую пройдёт частица со скоростью света за одну наносекунду, и результат запишите в миллиметрах.