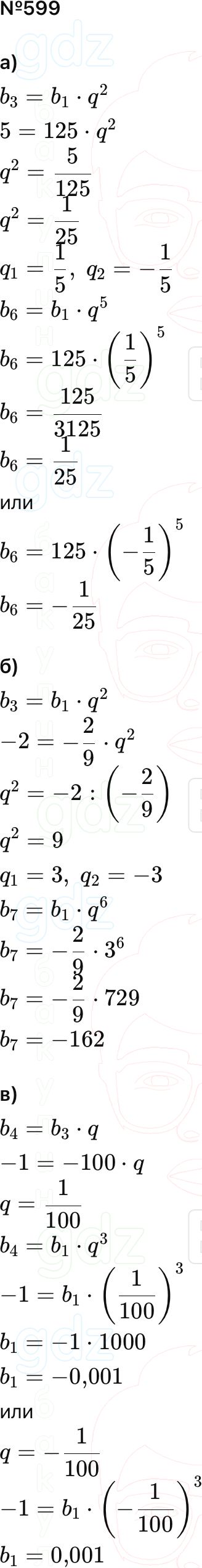
ГДЗ Алгебра 9 класс Макарычев, Теляковский 2025 Номера 599


>>>/
Правильный ответ к заданию ГДЗ Алгебра 9 класс Макарычев, Теляковский 2025Номера, номер 599 бесплатно онлайн
Решение/Номера/
ГДЗ Алгебра 9 класс Макарычев, Теляковский 2025 Номера 599

Другие задачи из этого решебника

Поделиться: