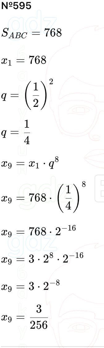
Условие задания
В треугольнике ABC (рис. 72) провели среднюю линию А1С1, в треугольнике А1В1С1 также провели среднюю линию А2С2, во вновь образовавшемся треугольнике А2ВС2 снова провели среднюю линию А3С3 и т. д. Найдите площадь треугольника А9ВС9, если известно, что площадь треугольника АВС равна 768 см2