Условие задания
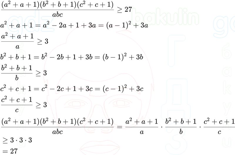
Докажите, что при положительных значениях а, b и с верно неравенство $$\frac{(a^2 + a + 1)(b^2 + b + 1)(c^2 + c + 1)}{abc}$$ ≥ 27.
Авторы: Макарычев Ю. Н., Миндюк Н. Г., Нешков К. И., Теляковский С.А.
Издательство: Просвещение 2025
Предмет: Алгебра
Докажите, что при положительных значениях а, b и с верно неравенство $$\frac{(a^2 + a + 1)(b^2 + b + 1)(c^2 + c + 1)}{abc}$$ ≥ 27.