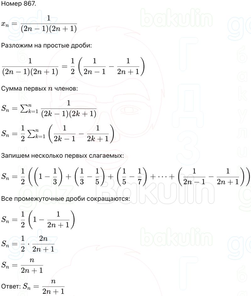
Условие задания
Найдите сумму первых n членов последовательности (хn), если хn = 1/(2n – 1)(2n + 1)
Авторы: Макарычев Ю. Н., Миндюк Н. Г., Нешков К. И., Теляковский С.А.
Издательство: Просвещение 2025
Предмет: Алгебра
Найдите сумму первых n членов последовательности (хn), если хn = 1/(2n – 1)(2n + 1)