Условие задания
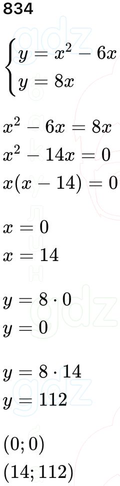
Пересекаются ли парабола у = х2 – 6х и прямая у – 8х = 0? Если да, то укажите координаты точек пересечения. Проиллюстрируйте ответ с помощью схематического рисунка.
Авторы: Макарычев Ю. Н., Миндюк Н. Г., Нешков К. И., Теляковский С.А.
Издательство: Просвещение 2025
Предмет: Алгебра
Пересекаются ли парабола у = х2 – 6х и прямая у – 8х = 0? Если да, то укажите координаты точек пересечения. Проиллюстрируйте ответ с помощью схематического рисунка.