Условие задания
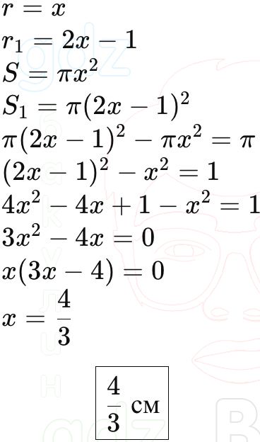
Если радиус круга увеличить в 2 раза, а затем уменьшить на 1 см, то его площадь увеличится на π см2. Найдите радиус круга.
Авторы: Макарычев Ю. Н., Миндюк Н. Г., Нешков К. И., Теляковский С.А.
Издательство: Просвещение 2025
Предмет: Алгебра
Если радиус круга увеличить в 2 раза, а затем уменьшить на 1 см, то его площадь увеличится на π см2. Найдите радиус круга.