ГДЗ Алгебра 9 класс Макарычев, Теляковский 2025 Номера 640


>>>/
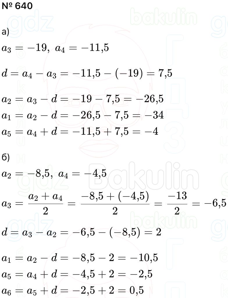
Правильный ответ к заданию ГДЗ Алгебра 9 класс Макарычев, Теляковский 2025Номера, номер 640 бесплатно онлайн
Решение/Номера/
ГДЗ Алгебра 9 класс Макарычев, Теляковский 2025 Номера 640

Другие задачи из этого решебника

Поделиться: