Условие задания
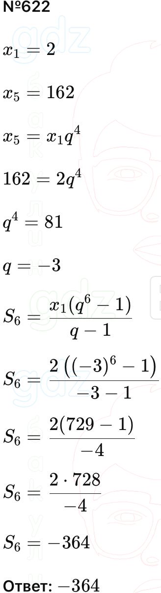
Первый член геометрической прогрессии равен 2, а пятый равен 162. Найдите сумму первых шести членов этой прогрессии, если известно, что её члены с чётными номерами отрицательны, а с нечётной – положительны.
Авторы: Макарычев Ю. Н., Миндюк Н. Г., Нешков К. И., Теляковский С.А.
Издательство: Просвещение 2025
Предмет: Алгебра
Первый член геометрической прогрессии равен 2, а пятый равен 162. Найдите сумму первых шести членов этой прогрессии, если известно, что её члены с чётными номерами отрицательны, а с нечётной – положительны.