Условие задания
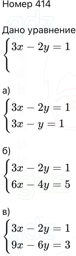
Известно одно уравнение системы двух линейных уравнений с двумя переменными 3х – 2у = 1. Подберите второе уравнение так, чтобы система:
Авторы: Макарычев Ю. Н., Миндюк Н. Г., Нешков К. И., Теляковский С.А.
Издательство: Просвещение 2025
Предмет: Алгебра
Известно одно уравнение системы двух линейных уравнений с двумя переменными 3х – 2у = 1. Подберите второе уравнение так, чтобы система: