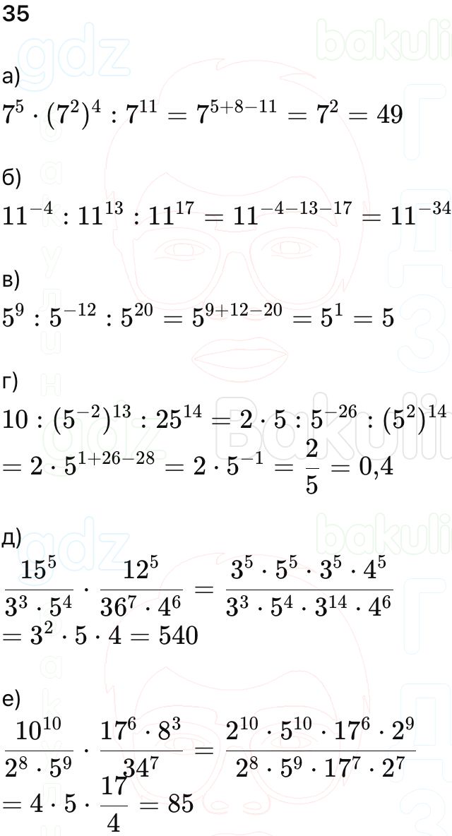
ГДЗ Алгебра 9 класс Макарычев, Теляковский 2025 Номера 35


>>>/
Правильный ответ к заданию ГДЗ Алгебра 9 класс Макарычев, Теляковский 2025Номера, номер 35 бесплатно онлайн
Решение/Номера/
ГДЗ Алгебра 9 класс Макарычев, Теляковский 2025 Номера 35

Другие задачи из этого решебника

Поделиться: