Условие задания
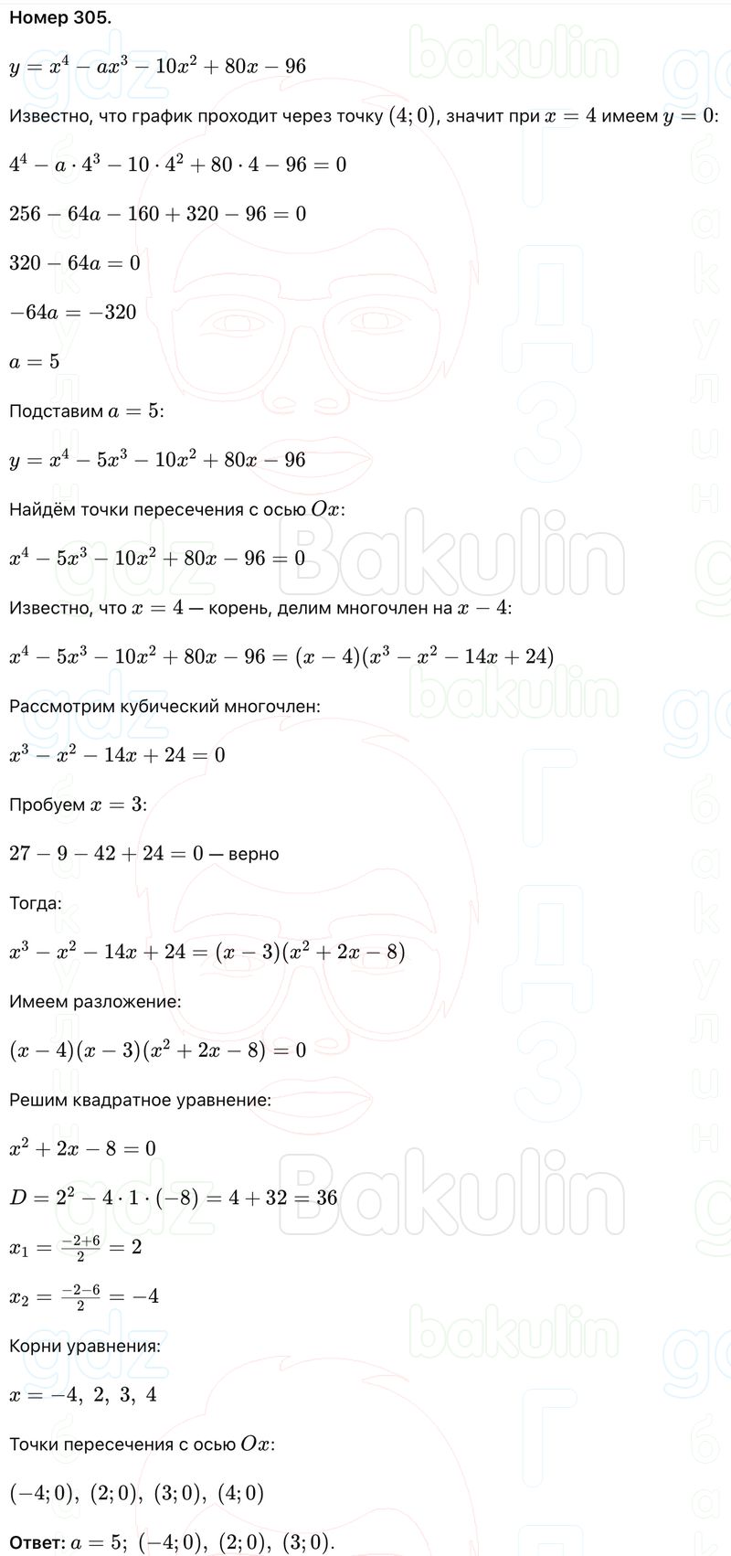
Известно, что график функции у = х4 – ах3 – 10х2 + 80х – 96 пересекает ось х в точке (4; 0). Найдите а и координаты других точек пересечения графика функции с осью х.
Авторы: Макарычев Ю. Н., Миндюк Н. Г., Нешков К. И., Теляковский С.А.
Издательство: Просвещение 2025
Предмет: Алгебра
Известно, что график функции у = х4 – ах3 – 10х2 + 80х – 96 пересекает ось х в точке (4; 0). Найдите а и координаты других точек пересечения графика функции с осью х.