Условие задания
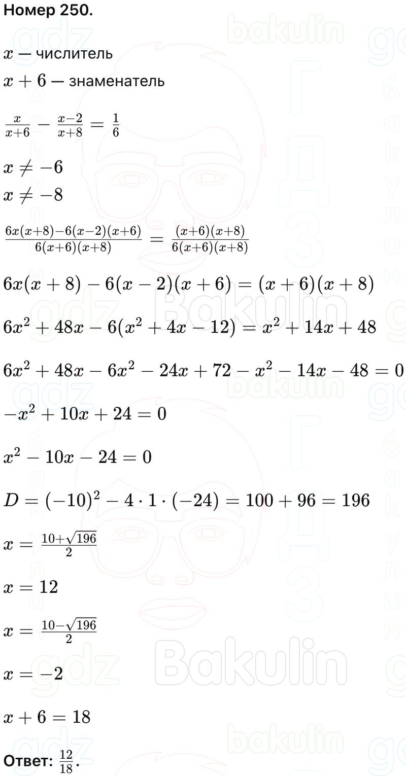
Знаменатель обыкновенной дроби на 6 больше её числителя. Если из числителя вычестеть 2, а к знаменателю прибавить 2, то дробь уменьшится на 1/6. Найдите эту дробь.
Авторы: Макарычев Ю. Н., Миндюк Н. Г., Нешков К. И., Теляковский С.А.
Издательство: Просвещение 2025
Предмет: Алгебра
Знаменатель обыкновенной дроби на 6 больше её числителя. Если из числителя вычестеть 2, а к знаменателю прибавить 2, то дробь уменьшится на 1/6. Найдите эту дробь.