Условие задания
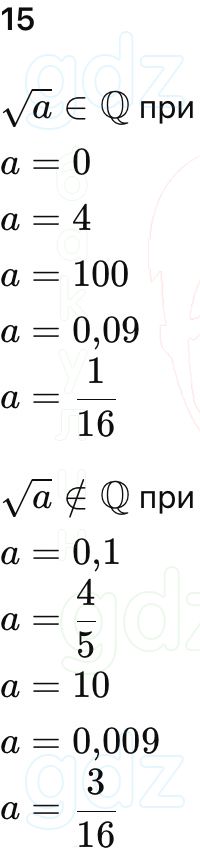
Укажите пять значений переменной а, при которых число $$\sqrt{a}$$ является рациональным и пять значений, при которых это число является иррациональным.
Авторы: Макарычев Ю. Н., Миндюк Н. Г., Нешков К. И., Теляковский С.А.
Издательство: Просвещение 2025
Предмет: Алгебра
Укажите пять значений переменной а, при которых число $$\sqrt{a}$$ является рациональным и пять значений, при которых это число является иррациональным.