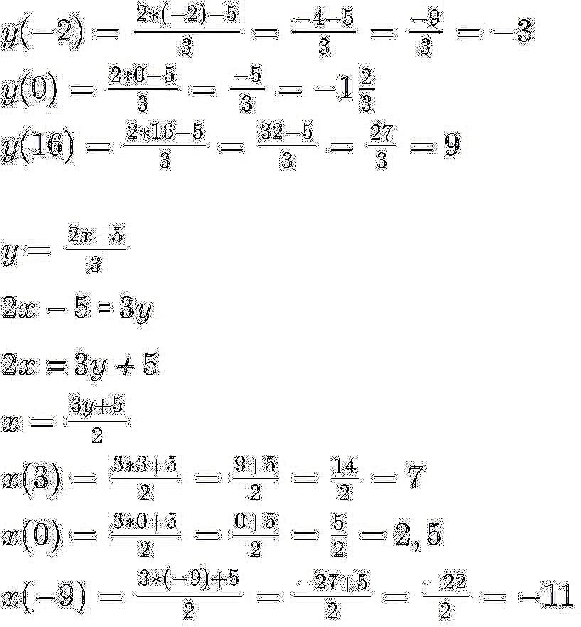
ГДЗ по алгебре 8 класс Макарычев под редакцией Теляковского 2024 ФГОС Номера 105
Новый учебник 2024+ г.
Актуальность: ФГОС 2024
Авторы: Макарычев Ю. Н., Миндюк Н. Г., Нешков К. И., Теляковский С.А.
Издательство: Просвещение
Предмет: Алгебра
Правильный ответ к заданию ГДЗ по алгебре 8 класс Макарычев под редакцией Теляковского 2024 ФГОСНомера, номер 105 бесплатно онлайн
Решение к учебнику Макарычева, Теляковского 2023-2025 года и новее
Решебник к учебнику Макарычева издание 2013-2019-2022