Условие задания
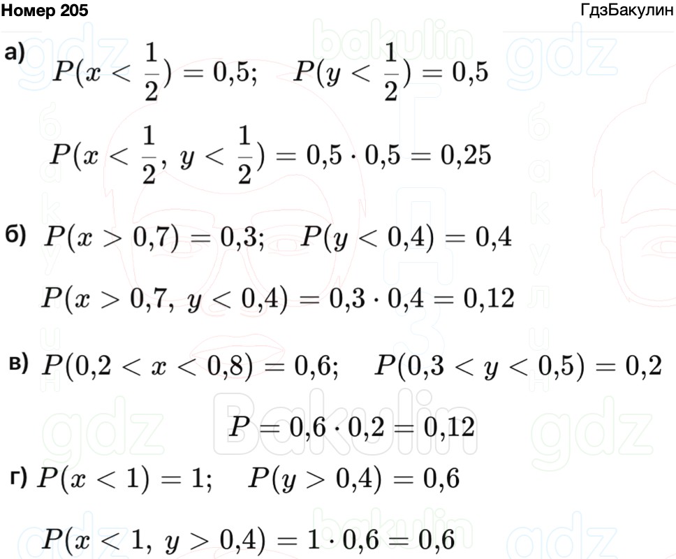
Из отрезка [0; 1] случайным образом независимо друг от друга выбираются два числа х и у. Найдите вероятность того, что:
a) x < 1/2, y < 1/2
б) x > 0,7, у < 0,4;
b) 0,2 < x < 0,8, 0,3 < y < 0,5;
г) x < 1, у > 0,4.
Авторы: Высоцкий И.Р., Ященко И.В
Издательство: "Издательство Просвещение"
Предмет: Вероятность и статистика
Из отрезка [0; 1] случайным образом независимо друг от друга выбираются два числа х и у. Найдите вероятность того, что:
a) x < 1/2, y < 1/2
б) x > 0,7, у < 0,4;
b) 0,2 < x < 0,8, 0,3 < y < 0,5;
г) x < 1, у > 0,4.