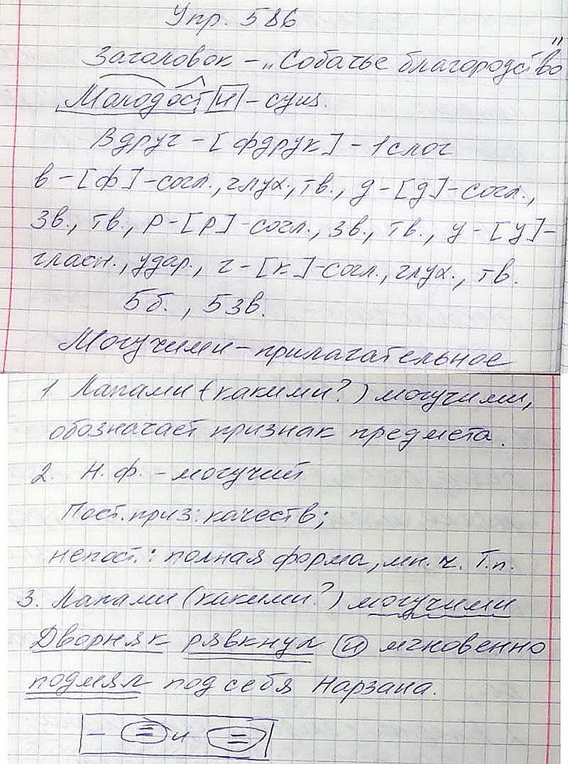
ГДЗ учебник русский язык 5 класс Ладыженская, Баранов, Тростенцова ФГОС Просвещение 2012-2025 Часть 2 Упражнение 586


>>>/
Правильный ответ к заданию ГДЗ учебник русский язык 5 класс Ладыженская, Баранов, Тростенцова ФГОС Просвещение 2012-2025Часть 2 Упражнение, номер 586 бесплатно онлайн
Решение/Часть 2 Упражнение/

Упражнение из учебника 2023-2025 года

ГДЗ учебник русский язык 5 класс Ладыженская, Баранов, Тростенцова ФГОС Просвещение 2012-2025 Часть 2 Упражнение 586

Упражнения из учебника 2019-2022 года

Упражнение из учебника 2012-2018 года

Другие задачи из этого решебника

Поделиться: